Clinical Pediatrics: Open Access

Clinical Pediatrics: Open Access
Open Access

ISSN: 2572-0775

Research Article - (2025)Volume 10, Issue 3

Neonatal Morbidity and Mortality at the Teaching Hospital Campus of Lome, Togo

Mawouto Fiawoo*, Mazama Pakoudjare, Koffi Mawuse Guedenon, Ounoo Elom Takassi, Foli Agbeko, Manante Hemou, Ami Ruth Amegatse, Koffi Edem Djadou, Adama Dodji Gbadoe and Nadiedjoa Kokou Douti
 
*Correspondence: Mawouto Fiawoo, Department of Pediatrics, Faculty of Health Sciences, University of Lome, Togo, Email:

Author info »

Abstract

Introduction: The neonatal period is a high-risk period for various attacks on a vulnerable organism. The aim of this study was to describe morbidity and mortality in hospitalized neonates. Methods: This was a cross-sectional retrospective study carried out from January 1st, 2021 to December 31st, 2022 in the pediatric department of the CHU-Campus in Lome, Togo. All newborns aged 0 to 28 days, born at term and hospitalized were included. Analysis was performed with R version 4.3.1. Results: A total of 3,358 children were hospitalized. Of these, 524 were newborns, giving a neonatal morbidity rate of 15.6%. Among the newborns included (N=452), there were 90 cases of death, representing a mortality of 19.9%. Ten-minute APGAR<7 was the risk factor associated with neonatal mortality (p=0.004; OR=4.88 [1.66- 15.5]). Pregnancy follow-up at the antenatal clinic was a protective factor (p=0.043; OR=0.11 [0.01-0.84]). Conclusion: Neonatal morbidity and mortality were high. Reducing this morbidity will require controlling the associated factors identified. Keywords: Morbidity, Mortality, Newborns, Associated factors, Togo

Keywords

Morbidity, Mortality, Newborns, Associated factors, Togo

Introduction

The neonatal period is a high-risk period for various types of aggression on a vulnerable organism, responsible for an average of 17 deaths per 1,000 live births worldwide [1]. The early neonatal period is particularly marked by high mortality, accounting for 75% of neonatal deaths, including 30-50% during the first twenty-four hours of life [2]. Of all neonatal deaths, 80% occur in low- and middle-income countries [1]. The burden of neonatal mortality is carried by sub-Saharan Africa and Central and South Asia, with 42% and 37% of deaths respectively [1]. The achievement of the Sustainable Development Goals (SDG 3.2) in terms of child health requires a significant reduction in neonatal mortality in countries with limited resources [3], and this high rate of newborn deaths is a challenge for the various healthcare actors in achieving these goals. It is in this context that we initiated this study, which aimed to describe the morbidity and mortality of newborns hospitalized in the neonatal unit of the teaching hospital Campus of Lome.

Materials and Methdos

This was a cross-sectional retrospective study, covering a 2-year period from January 1st, 2021, to December 31st, 2022 in the pediatrics department of the teaching hospital Campus of Lome, Togo. Exhaustive sampling was used, with systematic chart enrolment of all neonates fulfilling the inclusion criteria. All neonates aged 0 to 28 days, born at term and hospitalized in the neonatology unit during the study period, were included in this study. Our study did not include premature newborns. The dependent variables defined in this study were neonatal morbidity and mortality. The independent variables were sociodemographic (mother's age and level of education, age at admission and sex of the newborn); clinical (number of Antenatal Contacts (ANC), neonatal resuscitation, weight at admission) and outcome (length of stay and mode of discharge).

Data were recorded using EpiData (EpiData Association, Odense), then cleaned and analyzed using R version 4.3.1 (R Core Team, Vienna). Univariate and bivariate descriptive analysis was performed. The Chi2 test or Fisher's exact test, depending on their validity conditions, were used to compare proportions. For comparison of means, in the event of non-normality of the distribution (verified by Shapiro-Wilk test), non-parametric tests (Wilcoxon, Kruskal-Wallis) were used. The significance threshold was p<0.05. Logistic regression was used to identify factors associated with neonatal mortality. At the end of the univariate analysis, variables of clinical interest sufficiently associated with the variable to be explained (p<0.2) were introduced into an initial model. Using a top-down stepwise selection method, with the lowest Akaike Information Criterion as the criterion, variables with little influence were eliminated, resulting in a reduced model. Kaplan-Meier survival curves were compared using the log-rank test. Authorization was obtained from the hospital administration before the start of the study. Data collection forms were completed anonymously and confidentiality was respected.

Results

From January 1st, 2021, to December 31st, 2022, according to the Pediatrics Department's activity reports, a total of 3,358 children were hospitalized. These included 524 newborns, representing a neonatal morbidity rate of 15.6%. A total of 452 newborns were included, 90 of whom died, representing a mortality rate of 19.9%. 

The mean age of the mothers was 28.6 ± 5.71 years, with a minimum of 17 years and a maximum of 45 years. Mothers had a college education in 34.7% of cases. Table 1 shows the other characteristics of the newborns.

  Total
N = 452
Dead
N = 90
Alive
N = 362
p
Mothers' age groups (years), n (%)       0.3
≤ 20 33 (7.9) 6 (7.1) 27 (8.0)  
[20-25] 101 (24.0) 17 (20.2) 84 (25.0)  
[25-30] 147 (35.0) 28 (33.3) 119 (35.4)  
[30-35] 85 (20.2) 25 (29.8) 60 (17.9)  
[35-40] 45 (10.7) 7 (8.33) 38 (11.3)  
[40-45] 9 (2.1) 1 (1.2) 8 (2.4)  
(Missing data) 32 6 26  
Level of education, n (%)       0.07
No schooling 77 (21.4) 18 (27.7) 59 (20.0)  
Primary 91 (25.3) 19 (29.2) 72 (24.4)  
College 125 (34.7) 23 (35.4) 102 (34.6)  
University 67 (18.6) 5 (7.7) 62 (21.0)  
(Missing data) 92 25 67  
Sex of newborn, n (%)       0.8
Female 189 (42.2) 39 (43.8) 150 (41.8)  
Male 258 (57.6) 50 (56.2) 208 (57.9)  
Ambiguous sex 1 (0.2) 0 (0) 1 (0.28)  
Antenatal Contacts, n (%)       0.004
No 7 (1.6) 5 (5.9) 2 (0.6)  
Yes 423(98.4) 80 (94.1) 343 (99.4)  
(Missing data) 22 5 17  
Place of birth, n (%)       0.047
Health facility 392 (97.0) 68 (93.2) 324 (97.9)  
Home 12 (3.0) 5 (6.9) 7 (2.1)  
(Missing data) 48 17 31  
APGAR at 5 minutes < 7, n (%)       0.018
No 373 (87.1) 65 (79.3) 308 (89.0)  
Yes 55 (12.9) 17 (20.7) 38 (11.0)  
(Missing data) 24 8 16  
APGAR at 10 minutes < 7, n (%)       0.002
No 408 (95.8) 72 (88.9) 336 (97.4)  
Yes 18 (4.2) 9 (11.1) 9 (2.6)  
(Missing data) 26 9 17  
Newborn resuscitated, n (%)       0.039
No 261 (60.7) 45 (51.1) 216 (63.2)  
Yes 169 (39.3) 43 (48.9) 126 (36.8)  
(Missing data) 22 2 20  

Table 1: Distribution of newborns by their characteristics.

The mean time of resuscitation for 127 documented cases was 14.3 ± 23.13 minutes. This mean was significantly higher in resuscitated neonates who died. Figure 1 shows the distribution of resuscitation times for newborns according to survival. The mean weight of newborns on admission was lower in the group of dead newborns, as illustrated in figure 2.

pediatrics

Figure 1: Distribution of resuscitation time for newborns according to survival. The mean time of resuscitation for 127 documented cases was 14.3 ± 23.13 minutes. This mean was significantly higher in resuscitated neonates who died.

pediatrics

Figure 2: Weight distribution of newborns on admission according to survival.

Discussion

In this study, neonatal morbidity was 15.6%. Douti et al., in 2009, in the same department, reported a frequency of 15.8% [4]. Also in the present study, the incidence of neonatal mortality was 19.9%. This frequency is close to that recorded by Douti et al., in the same department in 2009, which was 14.5% [4]. This shows that in almost more than 10 years, neonatal morbidity and mortality had remained almost unchanged. This could be explained by inadequate medical equipment and a scarcity of well-qualified medical staff.

The mean maternal age was 28.6 ± 5.71 years, with a predominance of the 25 to 35 age group. The oldest mother was 45 and the youngest 17. Maternal age was not associated with neonatal mortality. The same finding was made by Nagalo et al. in Burkina Faso, who found 28.3 ± 5.9 years [5], but Douti et al. in the same department in 2013 found a predominance of the 20 to 25 age group [4].

Nearly 80% of the mothers had completed some form of schooling, of which around 35% had a college education. Mothers' level of education was not correlated with neonatal mortality in this study. Indeed, some studies have shown contradictory results on this subject. Ntambue et al., in 2021 in the DRC found associations between higher educational level and neonatal mortality, partly due to factors linked to occupation and stress [6], while Upadhyay et al. in India found that low parental education was a risk factor for neonatal mortality [7].

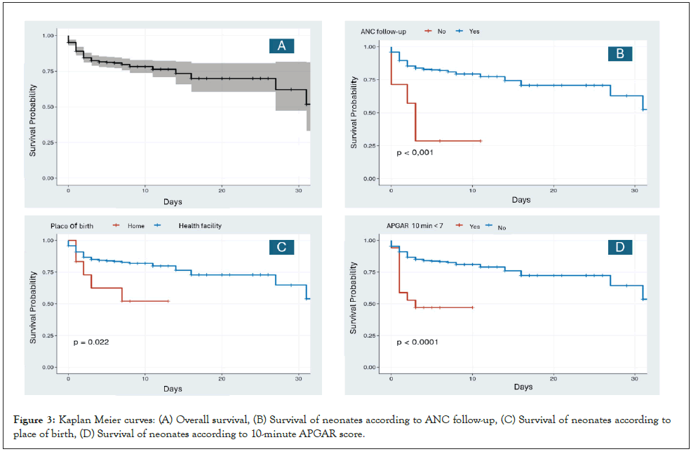
In this study, 98.4% of pregnant women had at least one Prenatal Contact (PNC). Kedy Koum et al., in 2015 in Cameroon found a similar result [8]. Pregnancy follow-up in ANC was a protective factor against neonatal mortality. It is therefore essential that ANC be accessible to pregnant women, provided by qualified medical staff. Birth at home predisposes to neonatal death. These deliveries are often septic, putting both mother and newborn at risk. In Indonesia, a 2008 study by Titaley et al. showed that in regions where more than 87.5% of deliveries were attended by trained medical staff, the neonatal mortality rate was 60% lower than in regions where this assistance was less than 25% [9].

An APGAR score of less than 7 at 10 minutes, with the need for resuscitation beyond that time, was associated with neonatal mortality. Zoungrana-Yameogo et al., in Burkina-Faso in 2021 reported that resuscitated neonates were 2.5 times more likely to die [10]. Resuscitation techniques, which aim to give newborns respiratory autonomy in the first minute of life, known as the “golden minute”, are not well understood by the staff of referral health structures, such as peripheral care units and private (or confessional) health structures for the most part. In a study carried out in Zambia in 2011, Gill et al., demonstrated that the neonatal mortality rate was reduced by 45% in a group of women who had been assisted at delivery by trained birth attendants, compared with a group where the women had been cared for by untrained birth attendants [11]. It is therefore imperative to take stricter measures to regulate health care facilities in Togo in order to deal with the uncontrolled proliferation of these inadequate health care structures (Figure 3).

pediatrics

Figure 3: Kaplan Meier curves: (A) Overall survival, (B) Survival of neonates according to ANC follow-up, (C) Survival of neonates according to place of birth, (D) Survival of neonates according to 10-minute APGAR score.

  Initial model Final model
  ORa1 95% CI1 p ORa1 95% CI1 p
Pregnancy followed in ANC2     0.066     0.043
No    
Yes 0.1 0.01-1.11   0.11 0.01-0.84  
Place of birth     0.6     0.3
Health facility    
Home 1.6 0.30-7.52   2.23 0.47-9.57  
APGAR 10 minute<7     0.028     0.004
No    
Yes 3.7 1.15-12.2   4.98 1.66-15.5  

Note: 1ORa = ajusted Odds Ratio, CI = Confidence Intervale, 2ANC = Antenatal Contact

Table 2: Factors associated with mortality, multivariate analysis.

Limitations

In this retrospective study, with have some missing data. This missing data represents a collection bias that can hide certain aspects of the results.

Conclusion

Neonatal morbidity and mortality were high. Ten-minute APGAR<7 was a risk factor associated with neonatal mortality. Pregnancy followup in ANC was a protective factor. Well-targeted public health actions on these factors will reduce neonatal morbidity and mortality

Conflict of Interest

The authors declare no conflicts of interest.

References

Author Info

Mawouto Fiawoo*, Mazama Pakoudjare, Koffi Mawuse Guedenon, Ounoo Elom Takassi, Foli Agbeko, Manante Hemou, Ami Ruth Amegatse, Koffi Edem Djadou, Adama Dodji Gbadoe and Nadiedjoa Kokou Douti
 
Department of Pediatrics, Faculty of Health Sciences, University of Lome, Togo
 

Citation: Fiawoo M, Pakoudjare M, Guedenon KM, Takassi OE, Agbeko F, Hemou M (2025). Neonatal Morbidity and Mortality at the Teaching Hospital Campus of Lome, Togo. Clin Pediatr. 04:310

Received: 05-Nov-2025, Manuscript No. CPOA-25-39060; Editor assigned: 07-Nov-2025, Pre QC No. CPOA-25-39060 (PQ); Reviewed: 19-Nov-2025, QC No. CPOA-25-39060; Revised: 25-Nov-2025, Manuscript No. CPOA-25-39060 (R); Published: 05-Dec-2025 , DOI: 10.35248/2572-0775.25.04.310

Copyright: © 2025 Fiawoo M, et al. This is an open-access article distributed under the terms of the Creative Commons Attribution License, which permits unrestricted use, distribution and reproduction in any medium, provided the original author and source are credited.

Top